×

置顶 本站原创软件与资源

2020年勇哥的机器视觉实验项目清单(大纲)

勇哥,很想停止 勇哥,很想停止 发表于2020-04-10 浏览32946 评论3
下面的清单算是对勇哥的工业自动化职业生涯中有关机器视觉方面的总结。它是勇哥看到过的一些项目,以及对应的知识点的盘点。勇哥缺少工匠精神,许多认识不深入,浮于表面,大叔级别的人了对待学习还是有点浮燥,造成许多知识点勇哥也是一知半解,希望借着这个贴子内容的梳理、和相关的实验的开展,不断的提升自己的知识深度,最重要一点是形成一种有规划的学习模式,节省时间提升效率。本贴的内容做为大纲,实际的实验内容勇哥会不断更新贴子出来。所以就将本贴置顶吧。(一) 单相机标定(1)halcon的标定助手 &nb
勇哥的免费视频教程清单

置顶 本站开源软件与资源

勇哥的免费视频教程清单

勇哥,很想停止 勇哥,很想停止 发表于2021-02-01 浏览22195 评论1
“少有人走的路”www.skcircle.com《勇哥的机器视觉》免费视觉教学系列免费视频勇哥会不定期更新,希望观赏后各位能给出宝贵意见。视频中所用图片素材以及源码等资料,在本站QQ群(98596273)中发布。视频也在B站发布,播放地址为:https://space.bilibili.com/1150123755?from=search&seid=5789841158140412090你也可以订阅本站微信公众号《勇哥的机器视觉》接收最新视频的更新消息。免费视频教程清单:————————

工业视觉/halcon

机器视觉系统需要考虑的十个问题

勇哥,很想停止 勇哥,很想停止 发表于2018-11-24 浏览3166 评论0
为了使用户在选择一款机器视觉系统时应该考虑的关键的、基本的特性方面提供指导。下面是选择一款机器视觉系统时要优先考虑的十个方面:1. 定位器 对象或特征的精确定位是一个检测系统或由视觉引导的运动系统的重要功能。传统的物体定位采用的是灰度值校正来识别物体。尽管这种技术得到了广泛的应用,但是,它在图象质量变差的情况下,就缺乏稳定性。图象质量变差可能是由于凌乱、亮度不同和遮盖等因素的影响。相反,几何对象定位法是一种最新的方法,它使用对象的轮廓来识别对象及其特征。Adept的HexSight 软

工业视觉/halcon

视觉硬件:镜头的选型知识

勇哥,很想停止 勇哥,很想停止 发表于2018-11-24 浏览4541 评论0
镜头的选择决窍 镜头按光圈分为手动光圈镜头和自动光圈镜头,选择依据:主要根据环境的光线是否稳定,环境稳定的一般选用手动光圈,一次调试OK后即可,环境不稳定选用自动光圈镜头(必须配以带有自动光圈镜头插座的摄像机),这样便可以实现画面亮度的自动调节。自动光圈镜头的控制信号又可分为DC及VIDEO控制两种,即直流电压控制及视频信号控制。这在自动光圈镜头的类型选用上,摄像机自动光圈镜头插座的连接方式上,以及选择自动光圈镜头的驱动方式开关上,三者注意协调配合好即可。  &nb
halcon图像拼接技术

工业视觉/halcon

halcon图像拼接技术

勇哥,很想停止 勇哥,很想停止 发表于2018-11-24 浏览10199 评论0
图像拼接技术就是针对同一场景的一系列图片,根据图片的特征,比如位置,重叠部分等,拼接成一张大幅的宽视角的图像。图像拼接要求拼接后图像最大程度的与原图一致,失真尽可能的小,并且要尽量做到天衣无缝即没有明显的拼接线或其他拼接痕迹。图像拼接不能损失原始图像信息为达到以上目标,图像拼接要求具备以下条件:1:图像应具有一定的特征性能,拼接正是通过这些特征来进行的。2:图像需要具有重叠部分,一般情况下,这些重叠部分点图像的1/4以上较为合理。3、图像的背景亮度差异不能太大,应该低于10个灰度值,否则难以拼接
halcon图像预处理之灰度形态学

工业视觉/halcon

halcon图像预处理之灰度形态学

勇哥,很想停止 勇哥,很想停止 发表于2018-11-23 浏览7998 评论0
灰度形态学处理有腐蚀,膨胀,开运算,闭运算,顶帽操作,低帽操作等。可以对图像进行图像平滑,图像增强,图像分割等。一,图像平滑gray_opening_shape(Image : ImageOpening : MaskHeight, MaskWidth, MaskShape : )开运算。开操作会抑制比结构元小的亮细节,去除亮点噪声gray_closing_shape(Image : ImageClosing : MaskHeight, MaskWidth, MaskShape : )闭运算。闭操
频率域滤波基础之五

工业视觉/halcon

频率域滤波基础之五

勇哥,很想停止 勇哥,很想停止 发表于2018-11-23 浏览5001 评论0
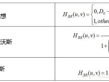
选择性滤波在很多应用中,其中感兴趣是处理指定的频段或频率矩形。第一类滤波器分别称为带阻滤波器或带通滤波器。第二类滤波器称为陷波滤波器。1、带阻滤波和带通滤波D(u,v)是距离频率矩形中心的距离,D0是带宽的径向中心,W是带宽。一个带同滤波器可以用从低通滤波器得到高通滤波器的相同的方法从带阻滤波器中得到halcon生成理想带阻带通和高斯带阻带通的代码read_image (Image, 'D:/halcon work/fft/1.png') rgb1
频率域滤波基础之三

工业视觉/halcon

频率域滤波基础之三

勇哥,很想停止 勇哥,很想停止 发表于2018-11-23 浏览5403 评论0
低频对应于图像变化缓慢的灰度分量,前面我们通过衰减高频成分来平滑图像。高频则对应于图像中变化快速的灰度变化。这些通常是物体的边缘及噪声。以下我们将通过高通滤波来实现图像的锐化。高通滤波会衰减傅立叶变换中的低频分量而不扰乱高频信息。理想高通滤波器halcon程序read_image (Image, 'D:/halcon work/fft/有票.bmp') rgb1_to_gray (Image, GrayImage) get_i
频率域滤波基础之二

工业视觉/halcon

频率域滤波基础之二

勇哥,很想停止 勇哥,很想停止 发表于2018-11-23 浏览6643 评论0
二维离散傅立叶(DFT)变化及其反傅立叶变换(IDFT)傅立叶变换通用形式对通用形式来讲,c=1,s=-1即为傅立叶变化(图像空间域转频域);c=1/MN,s=1即为逆变换(频域转空间域)halcon算子fft_generic(Image : ImageFFT : Direction, Exponent, Norm, Mode, ResultType : ) 通过参数设置可实现图像的频域和空间域的互转。fft_generic(Image,ImageFFT,'to_freq',-1
频率域滤波基础之一

工业视觉/halcon

频率域滤波基础之一

勇哥,很想停止 勇哥,很想停止 发表于2018-11-23 浏览5787 评论0
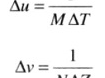
如果不了解在图像滤波中如何应用傅里叶变换和频率域的基本知识,要彻底理解这一领域也是不太可能。二维离散傅里叶变换的一些性质1、空间和频率间隔的关系假设对连续函数f(t,z)取样生成了一副数字图像f(x,y),它由分别在t和z方向所取的MxN个样点组成。令△T和△Z表示样本间的间隔。那么相应离散频率域变量间的间隔分别由给出。频率域样本间的间隔与空间样本间的间距和样本数成反比。2、平移和旋转用指数项乘以f(x,y)将使DFT的原点移动到点(u0,v0);反之,用负指数乘以F(u,v)将使f(x,y)的
滤波的概念和作用(滤波器、掩模、核、模板、窗口是一个意思)

工业视觉/halcon

滤波的概念和作用(滤波器、掩模、核、模板、窗口是一个意思)

勇哥,很想停止 勇哥,很想停止 发表于2018-11-23 浏览8195 评论0
 图像滤波增强处理实质上就是运用滤波技术来增强图像的某些空间频率特征,以改善地物目标与领域或背景之间的灰度反差。遥感系统成像过程中可能产生的”模糊”作用,常使遥感图像上某些用户感兴趣的线性形迹、纹理与地物边界等信息显示得不够清晰,不易识别。需要通过采用领域处理方法来分析、比较和调整像元与其周围相邻像元间的对比度关系,图像才能得到增加,也就是说需要采用滤波增加技术处理。     一,空域滤波:使用空域卷积模板进行的图像处理,模板本身被称为
如果看了此文你还不懂傅里叶变换,那就过来掐死我吧【完整版】

工业视觉/halcon

如果看了此文你还不懂傅里叶变换,那就过来掐死我吧【完整版】

勇哥,很想停止 勇哥,很想停止 发表于2018-11-23 浏览4755 评论0
原文出处: 韩昊   12345678910作 者:韩 昊知 乎:Heinrich微 博:@花生油工人知乎专栏:与时间无关的故事 谨以此文献给大连海事大学的吴楠老师,柳晓鸣老师,王新年老师以及张晶泊老师。 转载的同学请保留上面这句话,谢谢。如果还能保留文章来源就更感激不尽了。 ——更新于2014.6.6,想直接看更新的同学可以直接跳到第四章————我保证这篇文章和你以前看过的所有文章都不